Skip to content
Фонтанська сільська рада
Фонтанська об'єднана територіальна громада

Фонтанська сільська рада

ОФІЦІЙНИЙ ВЕБ-САЙТ

+38 (048) 788-92-09
22-04-2026 10:17
  • Фонтанська сільська рада
    • Загальна інформація
      • Фонтанка
      • Крижанівка
      • Ліски
      • Олександрівка
      • Світле
      • Вапнярка
      • Нова Дофінівка
      • Архівні документи
    • Про сільську раду
      • Керівництво
      • Структура
      • Регламент сільської ради
    • Доступ до публічної інформації
    • Електронне звернення
    • Виконавчий комітет
    • Депутатський корпус
      • Депутати Фонтанської сільської ради
      • Постійні депутатські комісії
      • Звіти
    • Акти Фонтанської сільської ради
      • Проекти рішень сільської ради VIII скликання
      • Рішення сільської ради
      • Проекти рішень виконавчого комітету
      • Рішення виконавчого комітету
      • Архів
        • Акти Фонтанської сільської ради попередніх скликань
          • Рішення сільської ради
          • Протоколи поіменного голосування
          • Місцеві податки
          • Інше
        • Загальна інформація
        • Інформація з сайту Крижанівської сільської ради
          • Оприлюднення
          • Берегоукріплення
    • Регуляторна політика
      • Планування регуляторної діяльності
      • Повідомлення про оприлюднення регуляторних актів
      • Оприлюднення проектів регуляторних актів
      • Діючі регуляторні акти
        • Регуляторні акти Фонтанської об’єднаної територіальної громади
        • Регуляторні акти (Фонтанка, до об’єднання)
        • Регуляторні акти (Крижанівка, Ліски, до об’єднання)
        • Регуляторні акти (Олександрівка, Світле, до об’єднання)
        • Регуляторні акти (Нова Дофінівка, Вапнярка, до об’єднання)
      • Оголошення
    • Консультації з громадськістю
      • Електронні консультації з громадськістю
      • Електронні петиції
    • Оприлюднення
  • ЦНАП
  • Виконавчі органи
    • Відділ містобудування
      • Загальні відомості, основні завдання та повноваження відділу
      • Адміністративні послуги, які надаються відділом
      • Реєстр містобудівних умов та обмежень
      • Реєстр адрес об’єктів нерухомого майна та об’єктів будівництва
      • Містобудівна документація та стратегічна екологічна оцінка
      • Містобудівний кадастр
      • Просторове планування
      • Важливо знати
    • Відділ земельних відносин
      • Про відділ
      • Корисна інформація
      • Оголошення
    • Юридичний відділ
      • Оголошення
    • Відділ економічного розвитку, інформації та інвестицій
      • Оголошення
      • Розміщення зовнішньої реклами
    • Управління освіти, туризму, культури, молоді та спорту
      • Про управління
      • Важливо знати
      • Управління освіти
        • Важливо знати
      • Управління культури, молоді та спорту
        • Про управління
    • Управління фінансів
      • Про управління
      • Положення
      • Плани
        • 2022
        • 2023
        • 2024
      • Звіти
        • 2022
        • 2023
    • Управління капітального будівництва
      • Про управління
      • Оголошення
    • Управління соціального захисту населення
      • Про управління
      • Корисна інформація
      • Запобігання та протидія домашньому насильству
      • Протидія торгівлі людьми
      • Реєстр щодо проведення повідомної реєстрації колективних договорів (змін та доповнень) Фонтанської сільської ради
      • Оголошення
      • ОПИТУВАННЯ
      • Відділ соціального захисту населення
        • Про відділ
        • Корисна інформація
          • Профілактика туберкульозу
          • Профілактика суїциду серед підлітків
          • Гендерна політика, протидія торгівлі людьми, запобігання домашньому насильству
          • Протидія торгівлі людьми
        • Реєстр щодо проведення повідомної реєстрації колективних договорів (змін та доповнень) Фонтанської сільської ради
        • Оголошення
    • Служба у справах дітей
      • Про службу
      • Корисна інформація
      • ПАТРОНАТ
      • Оголошення
    • Відділ загальної та організаційної роботи
    • Центр надання соціальних послуг
      • Про відділ
      • Положення
    • Комісія ТЕБ та НС
  • КП
    • Фінансовий план
    • КП “НАДІЯ”
      • Про КП
      • Статут
      • Фінансовий план
        • 2021
        • 2022
        • 2023
        • 2024
        • 2025
        • 2026
      • Звіти
        • 2021
        • 2022
        • 2023
        • 2024
        • 2025
    • КП СК “Крижанівський”
      • Про КП
      • Статут
      • Фінансовий план
        • 2021
        • 2022
        • 2023
        • 2024
        • 2025
        • 2026
      • Звіти
        • 2021
        • 2022
        • 2023
        • 2024
        • 2025
        • 2026
    • КП “Ритуальна служба”
      • Про КП
      • Статут
      • Фінансовий план
        • 2021
        • 2022
        • 2023
        • 2024
        • 2025
        • 2026
      • Звіти
        • 2021
        • 2022
        • 2023
        • 2024
      • ОГОЛОШЕННЯ
    • КП «Муніципальна варта»
      • Про КП
      • Статут
      • Фінансовий план
        • 2021
        • 2022
        • 2023
        • 2024
        • 2025
        • 2026
      • Звіти
        • 2021
        • 2022
        • 2023
        • 2024
        • 2025
        • 2026
    • КНП «Центр первинної медико-санітарної допомоги»
      • Про КП
      • Статут
      • Фінансовий план
        • 2021
        • 2022
        • 2023
        • 2024
        • 2025
        • 2026
      • Звіти
        • 2021
        • 2022
        • 2023
        • 2024
        • 2025
  • Бюджет
    • План бюджетної стабілізації
      • План бюджетної стабілізації
      • Звіт про реалізацію плану бюджетної стабілізації
    • Бюджетний регламент Фонтанської сільської ради
    • Розпис бюджету Фонтанської сільської територіальної громади
    • Шкільний громадський бюджет
      • 2024
      • 2025
    • Гендерно-орієнтоване бюджетування
      • Нормативні документи
      • Робота по напрямку
      • Корисні ресурси щодо гендерної рівності та протидії насиллю
    • Місцеві цільові програми
      • Діючі цільові програми
      • Виконані цільові програми
    • Місцеві податки і збори
      • Місцеві податки і збори 2022 рік
      • Місцеві податки і збори 2023 рік
      • Місцеві податки і збори 2024 рік
      • Місцеві податки і збори 2025 рік
      • Місцеві податки і збори 2026 рік
    • 2021
      • Звіти про виконання паспортів бюджетних програм
        • Фонтанська сільська рада
        • Управління освіти
        • Управління культури, молоді та спорту
        • Управління фінансів
        • Управління капітального будівництва
      • Паспорти бюджетних програм місцевого бюджету
        • Фонтанська сільська рада
        • Управління освіти
        • Управління культури, молоді і спорту
        • Управління фінансів
        • Управління капітального будівництва
      • Публічні закупівлі
        • Фонтанська сільська рада
        • Управління освіти
        • Управління культури, молоді і спорту
        • Управління фінансів
        • Управління капітального будівництва
      • Інформація про виконання бюджету
    • 2022
      • Звіти про виконання паспортів бюджетних програм
        • Фонтанська сільська рада
        • Управління освіти
        • Управління культури, молоді та спорту
        • Управління фінансів
        • Управління капітального будівництва
      • Оцінка ефективності бюджетної програми
        • Фонтанська сільська рада
        • Управління освіти
        • Управління культури, молоді та спорту
        • Управління фінансів
        • Управління капітального будівництва
      • Аналіз ефективності виконання бюджетної програми
        • Фонтанська сільська рада
        • Управління освіти
        • Управління культури, молоді та спорту
        • Управління фінансів
        • Управління капітального будівництва
      • Паспорти бюджетних програм місцевого бюджету
        • Фонтанська сільска рада
        • Управління освіти
        • Управління культури, молоді і спорту
        • Управління фінансів
        • Управління капітального будівництва
      • Публічні закупівлі
        • Фонтанська сільська рада
        • Управління освіти
        • Управління культури, молоді і спорту
        • Управління фінансів
        • Управління капітального будівництва
      • Інформація про виконання бюджету
      • Рішення про місцевий бюджет та зміни до нього, рішення виконавчого комітету щодо питань з бюджету
      • Діючі цільові програми
    • 2023
      • Рішення про місцевий бюджет та зміни до нього, рішення виконавчого комітету щодо питань з бюджету
      • Інформація про виконання бюджету
      • Звіти про виконання паспортів бюджетних програм
        • Фонтанська сільська рада
        • Управління освіти
        • Управління культури, молоді та спорту
        • Управління фінансів
        • Управління капітального будівництва
      • Оцінка ефективності бюджетної програми
        • Фонтанська сільська рада
        • Управління освіти
        • Управління культури, молоді та спорту
        • Управління фінансів
        • Управління капітального будівництва
      • Аналіз ефективності виконання бюджетної програми
        • Фонтанська сільська рада
        • Управління освіти
        • Управління культури, молоді та спорту
        • Управління фінансів
        • Управління капітального будівництва
      • Паспорти бюджетних програм місцевого бюджету
        • Фонтанська сільська рада
        • Управління освіти
        • Управління культури, молоді і спорту
        • Управління фінансів
        • Управління капітального будівництва
      • Формування бюджету
      • Публічні закупівлі
    • 2024
      • Формування бюджету громади
      • Рішення про місцевий бюджет та зміни до нього, рішення виконавчого комітету щодо питань з бюджету
      • Інформація про виконання бюджету
      • Паспорти бюджетних програм місцевого бюджету
        • Фонтанська сільська рада
        • Управління освіти
        • Управління фінансів
        • Управління культури, молоді та спорту
        • Управління капітального будівництва
        • Управління соціального захисту населення
      • Оцінка ефективності бюджетної програми
        • Фонтанська сільська рада
        • Управління фінансів
        • Управління освіти
        • Управління культури, молоді та спорту
        • Управління капітального будівництва
        • Управління соціального захисту населення
      • Аналіз ефективності виконання бюджетної програми
        • Фонтанська сільська рада
        • Управління фінансів
        • Управління освіти
        • Управління культури, молоді та спорту
        • Управління капітального будівництва
        • Управління соціального захисту населення
      • Звіти про виконання паспортів бюджетних програм
        • Фонтанська сільська рада
        • Управління освіти
        • Управління фінансів
        • Управління культури, молоді та спорту
        • Управління капітального будівництва
        • Управління соціального захисту населення
      • Публічні закупівлі
    • 2025
      • Формування бюджету громади
      • Рішення про місцевий бюджет та зміни до нього, рішення виконавчого комітету щодо питань з бюджету
      • Інформація про виконання бюджету
      • Паспорти бюджетних програм місцевого бюджету
        • Фонтанська сільська рада
        • Управління освіти
        • Управління фінансів
        • Управління культури, молоді та спорту
        • Управління капітального будівництва
        • Управління соціального захисту населення
      • Звіт про виконання паспортів бюджетних програм
        • Фонтанська сільська рада
        • Управління фінансів
        • Управління освіти, культури, туризму, молоді та спорту
        • Управління соціального захисту населення
        • Управління капітального будівництва
      • Оцінка ефективності бюджетної програми
        • Фонтанська сільська рада
        • Управління фінансів
        • Управління освіти, культури, туризму, молоді та спорту
        • Управління соціального захисту населення
        • Управління капітального будівництва
      • Аналіз ефективності бюджетної програми
        • Фонтанська сільська рада
        • Управління фінансів
        • Управління освіти, культури, туризму, молоді та спорту
        • Управління соціального захисту населення
        • Управління капітального будівництва
      • Публічні закупівлі
    • 2026
      • Формування бюджету громади
      • Рішення про місцевий бюджет та зміни до нього, рішення виконавчого комітету щодо питань з бюджету
      • Паспорти бюджетних програм місцевого бюджету
        • Фонтанська сільська рада
        • Управління фінансів
        • Управління капітального будівництва
        • Управління соціального захисту населення
        • Управління освіти, культури, туризму, молоді та спорту
      • Інформація про виконання бюджету
    • Бюджетні запити
      • Інструкції з підготовки бюджетних запитів
      • Бюджетні запити на 2021-2023 роки
        • Фонтанська сільська рада
        • Управління фінансів
        • Управління капітального будівництва
        • Управління культури, молоді та спорту
        • Управління освіти
      • Бюджетні запити на 2022-2024 роки
      • Бюджетні запити на 2023-2025 роки
        • Фонтанська сільська рада
        • Управління фінансів
        • Управління капітального будівництва
        • Управління культури, молоді і спорту
        • Управління освіти
      • Бюджетні запити на 2024-2026 роки
        • Фонтанська сільська рада
        • Управління фінансів
        • Управління капітального будівництва
        • Управління культури, молоді та спорту
        • Управління освіти
      • Бюджетні запити на 2025-2027 роки
        • Фонтанська сільська рада
        • Управління капітального будівництва
        • Управління фінансів
        • Управління культури, молоді та спорту
        • Управління освіти
        • Управління соціального захисту населення
      • Бюджетні запити на 2026-2028 роки
        • Фонтанська сільська рада
        • Управління фінанасів
        • Управління капітального будівництва
        • Управління освіти, туризму, культури, молоді та спорту
        • Управління соціального захисту населення
    • Прогноз місцевого бюджету
      • 2022-2024 роки
      • 2024-2026 роки
      • 2025-2027 роки
      • 2026-2028 роки
    • Робота з питань по наповненню надходжень до бюджету громади
    • Робота з учасниками бюджетного процесу щодо ефективного використання коштів
      • Робоча група
      • Плани
      • Протоколи
    • Бюджет для громадян
    • Річна фінансова звітність
      • 2021
        • Фонтанська сільська рада
        • Управління освіти
        • Управління культури, молоді та спорту
        • Управління фінансів
        • Управління капітального будівництва
      • 2022
        • Фонтанська сільська рада
        • Управління освіти
        • Управління культури, молоді та спорту
        • Управління фінансів
        • Управління капітального будівництва
      • 2023
        • Фонтанська сільська рада
        • Управління освіти
        • Управління культури, молоді та спорту
        • Управління фінансів
        • Управління капітального будівництва
      • 2024
        • Фонтанська сільська рада
        • Управління фінансів
        • Управління освіти
        • Управління культури, молоді та спорту
        • Управління капітального будівництва
        • Управління соціального захисту населення
      • 2025
        • Фонтнаська сільська рада
        • Управління фінансів
        • Управління освіти, культури, туризму, молоді та спорту
        • Управління капітального будівництва
        • Управління соціального захисту населення
    • Рахунки для зарахування податків і платежів до бюджету громади
    • Відкритий бюджет Open Budget
    • Учасники бюджетного процесу
      • Головні розпорядники коштів бюджету Фонтанської сільської територіальної громади
      • Одержувачі коштів бюджету Фонтанської сільської територіальної громади
    • Прозорий бюджет Фонтанської сільської територіальної громади
      • Головні розпорядники коштів бюджету Фонтанської сільської територіальної громади
      • Одержувачі коштів бюджету Фонтанської сільської територіальної громади
      • Платники туристичного збору
  • Різне
    • ВЕТЕРАНАМ
      • Види місцевої соціальної допомоги
      • Види державної соціальної допомоги
    • Стратегічні документи
    • Допомога постраждалим від вибухонебезпечних предметів особам
    • Цивільний Захист
    • Координаційна рада
    • Подача заявки в електронну чергу в садочок
    • Розміщення зовнішньої реклами
    • Антикорупційна політика
    • Шукачам роботи
      • Доброславський відділ Одеської філії Одеського обласного центру зайнятості
      • До уваги роботодавців!
      • Шановному читачу
      • “Електронна черга” для безробітних
      • Оголошення
    • Безбар’єрність
      • Рада безбар’єрності
      • Безбар’єрний маршрут Фонтанської територіальної громади
      • Нормативні документи
      • Довідник безбар’єрності
      • Відомості по напрямку
      • Форма зворотного зв’язку
        • Електронні петиції
    • для ВПО
    • Інвестиційні об’єкти
      • Фонтанка
      • Ліски
      • Крижанівка
      • Олександрівка
      • Світле
      • Нова Дофінівка
      • Вапнярка
    • Ти як?
    • Програма «ВідновиДІМ»
  • Контакти
  • Новий сайт
  • 🔍︎ Пошук

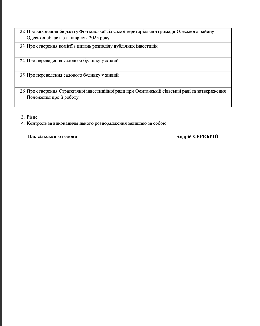
Снимок экрана 2025-07-25 в 17.42.52

Posted on 25.07.2025Author rada fontanska

Навігація записів

Previous PostПро скликання засідання Виконавчого комітету Фонтанської сільської ради

Недавні записи

  • Щодо обприскування посiвiв
  • 📢 Для мешканців с. Фонтанка та Крижанівського старостинського округу організовано безкоштовне автобусне перевезення до кладовища с-ща Ліски у неділю, 19 квітня 2026 року.
  • Оздоровлення та відпочинок дітей: нові можливості у 2026 році
  • Про скликання позачергового засідання сесії Фонтанської сільської ради VIII склика
  • Про скликання засідання Виконавчого комітету Фонтанської сільської ради Одеського району Одеської області
© 2026 Фонтанська сільська рада
Разработано Digital Agency DIOL.

Перейти до вмісту
Відкрити Панель інструментів Засоби доступності

Засоби доступності

  • Збільшення текстуЗбільшення тексту
  • Зменшення текстуЗменшення тексту
  • Відтінки сірогоВідтінки сірого
  • Високий контрастВисокий контраст
  • Негативний контрастНегативний контраст
  • Світлий фонСвітлий фон
  • Підкреслення посиланьПідкреслення посилань
  • Скинути Скинути